Menu
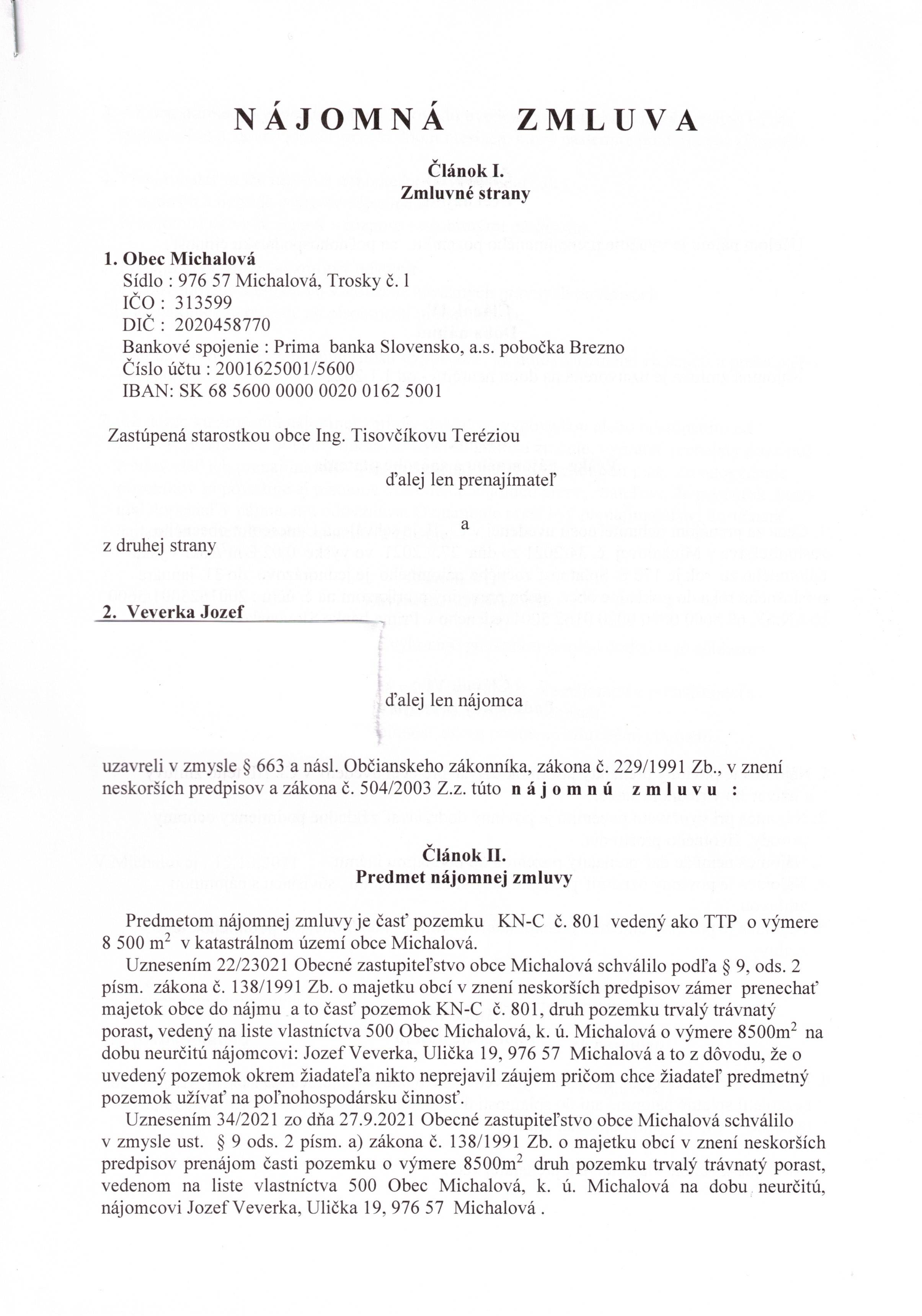
Obec Michalová
ObecMichalová

Detail zmluvy 068_2021

Číslo zmluvy:
068_2021
Názov:
Nájomná zmluva
Predmet zmluvy:
Prenájom časti pozemku KN-C č. 801
Cena:
170,00 EUR
1. Zmluvná strana:
Obec Michalová
2. Zmluvná strana:
Jozef Veverka
Meno podpisujúcej osoby:
Ing. Terézia Tisovčíková
Funkcia podpisujúcej osoby:
Starostka obce Michalová
Dátum zverejnenia:
15. 10. 2021
Dátum účinnosti zmluvy:
16. 10. 2021
Platnosť zmluvy do:
Neuvedené
68.jpg
Typ súboru: JPG obrázok, Veľkosť: 489,29 kB
68-1.jpg
Typ súboru: JPG obrázok, Veľkosť: 443,56 kB
68-2.jpg
Typ súboru: JPG obrázok, Veľkosť: 439,42 kB

Zverejňovanie

Kalendár

Máj2026
Po Ut St Št Pia So Ne
27 28 29 30 1 2 3
4 5 6 7 8 9 10
11 12 13 14 15 16 17
18 19 20 21 22 23 24
25 26 27 28 29 31

Harmonogram zberu odpadu

Máj2026
Po Ut St Št Pi So Ne
27 28 29
30 1 2 3
4 5 6
7
8 9 10
11 12 13
14 15 16 17
18 19 20
21 22
23 24
25 26 27
28 29 30 31
Kalendár zvozu odpadu

Pohotovostná služba - rozpis

https://www.e-vuc.sk/pre-poskytovatelov-zdravotnej-starostlivosti/rozpisy-sluzieb-ambulantnej-pohotovosti-lekarskej-sluzby-prvej-pomoci/rozpis-sluzieb-aps-lspp.html?page_id=56541&kraj=404

Aktuálny cenník poplatkov za služby poskytované v obci Michalová

Materská škola Michalová

http://www.msmichalova.estranky.sk/

Návštevnosť

Návštevnosť:

ONLINE:2
DNES:155
TÝŽDEŇ:2780
CELKOM:1721970

Môžete mať záujem

Fotogaléria

Najnovšia fotogaléria

PRVÁ POMOC

Defibrilátor sa nachádza pri vchode na obecný úrad. V prípade núdze volajte bezodkladne 155 alebo 112 a postupujte podľa inštrukcií.

Mapu AED nájdete na https://aed.155.sk/AED

UPOZORNENIE

Upozornenie

Mobilná aplikácia

Sledujte informácie z nášho webu v mobilnej aplikácii - V OBRAZE.
Voľne k stiahnutiu: